With COVID-19 disrupting travel, shutting borders, and redefining what is essential work, Pandemic Borders explores what international migration will look like after the pandemic, in this series titled #MigrantFutures
Migrants are critical for many low and middle-income countries like Nepal, El Salvador and Tonga where remittances comprise between 15 to 40% of annual GDP.
Our research using detailed microdata shows that declining trends in 2020 remittances, had a considerable impact on food security and income of migrant-dependent households. This makes migrants especially vulnerable during the COVID-19 pandemic. These findings strongly support the case for supporting migrant households as part of countries’ COVID-19 recovery policies.
COVID-19 exacerbates challenges for returnee migrants
Since countries rushed to close international borders and restrict domestic mobility to mitigate the spread of COVID-19 in April 2020, migrants have been front and center of the crises. Initial onset of mobility restrictions combined with economic shutdown created havoc amongst migrant communities globally. Increased crackdown on undocumented migrants, hotspots in crowded detention centers, and other factors, forced many migrants to return to their countries of origin. Unfortunately, economic and health conditions are equally dire for migrants and their households. Circumstances were further exacerbated by migrants who inadvertently brought the disease back with them.
Studies conducted by Yale-RISE and Innovations for Poverty Action show that earnings among migrant households declined by more than 25% while food insecurity was fourfold compared to non-migrant households since March 2020. These differences are attributed to lower migration rates, less remittance income per migrant, isolation in origin communities, and greater health risks. Households with migrants are twice as likely to report experiencing symptoms of COVID-19. The findings are based on a comparison of pre- and post-COVID-19 panel datasets for three populations in Bangladesh and Nepal.
One of the population sub-sets comprising Bangladeshi households that won a visa lottery to migrate internationally in 2013 experienced sharper drops in income in May 2020 after the COVID-19 lockdown compared to lottery-losers (Figure 1-A). The negative welfare impact is also reflected amongst another population of migrant-dependent households in rural Bangladesh. This group experienced food insecurity in April 2020 that exceeded the levels observed during typical agricultural lean seasons in prior years (Figure 1-C).
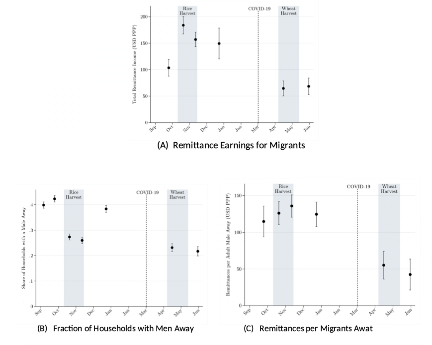
Similar trends are observed in another set of migrant households in Western Terai, Nepal (Figure 1-B and 1-D).

The decline in household welfare for Nepali migrants illustrated above is driven by lower rates of out-migration and reduced remittance income from existing migrants (Figure 2). While remittances may surge briefly with migrants returning uncharacteristically early, average downward trends in remittances are expected for 2020 – World Bank estimates a decline in the order of 4 to 20% in countries where remittances account for more than 5% of GDP.

Mitigating the effects
Given the clear welfare impact on migrants and their households, migrant-sending countries need to prioritize the affected population in policies addressing their COVID-19 recovery agenda with regards to emergency income support and reintegration services.
Targeted emergency benefit transfers to migrant households in low and middle-income countries using innovative means such as using mobile phone and satellite data as in Togo or a migration-linked COVID-19 risk exposure index can expedite identification and distribution of aid to vulnerable populations.
With widespread, nation-wide lockdowns being too costly or not feasible in poorer countries, accurate, sub-national targeting takes on even greater urgency. Furthermore, as COVID-19 testing capacity continues to be limited and unreliable in these countries, sophisticated testing-based defensive strategies as in South Korea or Taiwan remain difficult to deploy. Even with some vaccination programs in place in 2021, surveilling regions and households with exposure to migration complemented with systematic and community-enforced quarantine procedures are effective means of mitigating the spread of COVID-19.
Income losses in migrant households are not being recovered in home labor markets largely due to migrants’ difficulty to reintegrate into the local economy. Consequently, adequate reintegration services are crucial to sustain migrant households’ earnings. COVID-19 also exacerbates various stigma such as perceptions of migrants as carriers of disease.
Policies to alleviate the reintegration process should therefore incorporate psycho-social counseling and widespread community messaging to alleviate stigma. Gendered aspects of returnees warrant special consideration since women migrants are at higher risk of unemployment during the pandemic given the greater likelihood of being employed in elementary and informal occupations.
While the immediate policy suggestions above are concentrated on the migrants’ countries of origin, we note that global advocacy on improvement in migrants’ rights, particularly at the countries of destination, continue to be of relevance as border controls get more stringent with COVID-19.